ISU (세계빙상연맹)에서 2022년 1월 31일 발표한 여자 피겨 세계랭킹 순위입니다. ISU에서는 여자 피겨 선수 세계 랭킹 순위는 최근 3새 시즌 대회 성적을 랭킹 포인트에 반영하여 결정하고 았습니다. 현재는 2021/2022 시즌 대회 성적 100%, 2020/2021 시즌 대회 성적 100%, 2019/2020 시즌 대회 성적 70%를 여자 피겨 세계 랭킹 순위 결정에 반영하고 있습니다. 자세한 랭킹 순위는 아래내용을 참고바랍니다.
● ISU 여자 피겨 세계 랭킹 1위, 러시아의 안나 SHECHERBAKOVA 선수
여자 피겨 세계 랭킹 순위 2위, 유영 선수는 2004년 3월 출생으로 키는 159cm이며, 참가 대회 및 성적은 다음과 같습니다.

| Date of birth: | 28.03.2004 |
Anna SHCHERBAKOVA
|
|||||||||
| Place of birth: | Moscow | ||||||||||
| Height: | 159 cm |
RUS
|
|||||||||
| Home town: | Moscow | ||||||||||
| Profession: | high school student | ||||||||||
| Hobbies: | reading, cooking | ||||||||||
| Start sk. / Club: | 2007 / Sambo 70 (Khrustalnyi) | ||||||||||
| Internet / Social Media contact: | Instagram: anna__shcherbakova_ | ||||||||||
| Coach: | Eteri Tutberidze, Sergei Dudakov, Daniil Gleikhengauz | ||||||||||
| Choreographer: | Eteri Tutberidze, Daniil Gleikhengauz | ||||||||||
| Former Coach: | Oksana Bulycheva, Julia Krasinskaia | ||||||||||
| Practice low season: | h/week Moscow, Novogorsk | ||||||||||
| Practice high season: | h/week Moscow | ||||||||||
여자 피겨 세계 랭킹 순위 1위, 러시아의 안나 SHECHERBAKOVA 선수는 2019년 유럽 청소년 올림픽, 2019년 사라예보에서 1위, JISU 그랑프리 파이널 2019/2020, 토리노 2019에서 2위, ISU CS 롬바르디아 트로피 2019, 베르가모 2019대회에서 1위 부다페스트 트로피 2021, 부다페스트 대호에서 2위, ISU GP 스케이트 아메리카 2019, 라스베이거스 2019 대회에서 1위를 차지 했습니다. 또 ISU GP 그란 프레미오 디탈리아 2021 토리노 대회에서 1위, ISU GP 시세이도컵 of China 2019 충칭 대회에서 1위, ISU GP Internationalaux 드 프랑스 2021 그르노블 2대회에서도 1위에 올랐습니다. 성적을 보면 2019년에 2위를 한 적이 있지만 2021년 대회에서 모두 1위를 차지하였습니다.
● ISU 여자 피겨 세계 랭킹 2위, 러시아의 알렉산드라 선수
여자 피겨 세계 랭킹 순위 2위, 유영 선수는 2004년 6월 출생으로 키는 158cm로 작은 편이며, 참가 대회 및 성적은 다음과 같습니다.
| Date of birth: | 23.06.2004 |
Alexandra TRUSOVA
|
|||||||||
| Place of birth: | Riazan | ||||||||||
| Height: | 158 cm |
RUS
|
|||||||||
| Home town: | Moscow | ||||||||||
| Profession: | high school student | ||||||||||
| Hobbies: | reading books | ||||||||||
| Start sk. / Club: | 2008 / Sambo 70 (Khrustalni) | ||||||||||
| Internet / Social Media contact: | Instagram: avtrusova | ||||||||||
| Coach: | Eteri Tutberidze, Sergei Dudakov, Daniil Gleikhengauz, Georgi Pokhiliuk | ||||||||||
| Choreographer: | Eteri Tutberidze, Daniil Gleikhengauz | ||||||||||
| Former Coach: | Evgeni Plushenko, Dmitri Mikhailov, Alexander Volkov, Olga Shevtsova | ||||||||||
| Practice low season: | h/week Moscow, Kislovodsk | ||||||||||
| Practice high season: | h/week Moscow | ||||||||||
여자 피겨 세계 랭킹 순위 2위, 러시안의 알렉산드라 선수는 ISU 주니어 그랑프리 파이널 2018/19 밴쿠버 대회에서 2위, JISU 그랑프리 파이널 2019/2020 토리노 대회에서 3위, ISU CS 제27회 네펠라 메모리얼 2019 브라티슬라바 대회에서 1위, ISU GP 로스텔레콤 컵 2020 모스크바 대회에서 4위, ISU GP 스케이트 캐나다 인터내셔널 2019 켈로나 대회 / 미국 피겨스케이팅 클래식 노우드 2021 대회, ISU GP 로즈텔컴컵 모스크바 2019 대회, SU GP 보증 레이트 스케이트 아메리카 2021 라스베이거스 대회에서 1위를 차지했습니다.
● ISU 여자 피겨 세계 랭킹 3위, 한국의 유영 선수
여자 피겨 세계 랭킹 순위 3위, 유영 선수는 2004년 5월 출생으로 키는 166cm이며, 참가 대회 및 성적은 다음과 같습니다. 유영 선수 출신학교는 수리고등학교, 과천중학교, 문원초등학교입니다.


| Date of birth: | 27.05.2004 |
Young YOU
|
|||||||||
| Place of birth: | Seoul | ||||||||||
| Height: | 166 cm |
KOR
|
|||||||||
| Home town: | Seoul | ||||||||||
| Profession: | high school student | ||||||||||
| Hobbies: | music | ||||||||||
| Start sk. / Club: | 2010 / Korean Skating Union | ||||||||||
| Internet / Social Media contact: | |||||||||||
| Coach: | Mie Hamada, Tammy Gambill, Hyun Jung Chi | ||||||||||
| Choreographer: | Tom Dickson (SP), Shae Lynn Bourne (FS) | ||||||||||
| Practice low season: | h/week Colorado Springs/USA | ||||||||||
| Practice high season: | h/week Colorado Springs/USA, Seoul | ||||||||||
ISU GP 스케이트 캐나다 인터내셔널 2019 켈로나 대회에서 3위, 2021 크랜베리 컵 인터내셔널 노우드 보스턴 2021 대회에서 2위, ISU GP 시세이도 컵 오브 차이나 2019 충칭 대회 4위, 국제빙상경기연맹(ISU) CS 가을 클래식 인터내셔널 2021 몬트리올 대회에서 2위, JISU GP 보증 레이트 스케이트 아메리카 2021 라스베이거스 대회 3위, ISU GP NHK 트로피 2020 오사카 대회 7위, ISU GP NHK 트로피 2021 도쿄 대회 3위를 차지하였습니다.
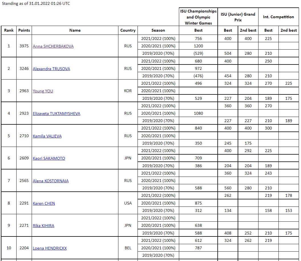
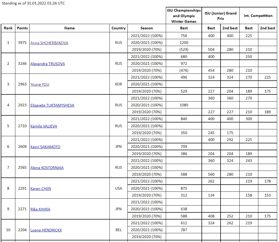
● ISU 여자 피겨 세계 랭킹 순위 순위(Top 1~ Top10)
ISU 여자 피겨 세계 랭킹 1위는 랭킹포인트 3975의 러시아 Anna SHCHERBAKOVA이며, 2위는 랭킹포인트 3246의 러시아 알락산트라 선수이며, 3위는 랭킹 포인트 2963점의 한국 유영 선수입니다.

순위/랭킹 포인트 / 선수이름 / 국가 순서 정리입니다.
1위 3975 Anna SHCHERBAKOVA 러시아
2위 3246 Alexandra T러시아OVA 러시아
3위 2963 Young YOU 한국
4위 2923 Elizaveta TUKTAMYSHEVA 러시아
5위 2710 Kamila VALIEVA 러시아
6위 2609 Kaori SAKAMOTO 일본
7위 2565 Alena KOSTORNAIA 러시아
8위 2291 Karen CHEN 미국
9위 2271 Rika KIHIRA 일본
10위 2204 Loena HENDRICKX 벨기에

● ISU 여자 피겨 세계 랭킹 순위 순위(Top11~ Top40)
(순위/랭킹 포인트 / 선수이름 / 국가)
11위 2117 Ekaterina RYABOVA AZE
12위 2016 Yelim KIM 한국 (여자 피겨 김예림 선수 랭킹)
13위 1912 Ekaterina KURAKOVA POL
14위 1834 Alysa LIU 미국
15위 1802 Bradie TENNELL 미국
16위 1784 Haein LEE 한국(여자 피겨 이해인 선수 랭킹)
17 1759 Maiia KHROMYKH 러시아
18 1719 Wakaba HIGUCHI 일본
19 1674 Mai MIHARA 일본
20 1632 Viktoriia SAFONOVA BLR
21 1561 Nicole SCHOTT 독일
22 1520 Starr ANDREWS 미국
23 1496 Satoko MIYAHARA 일본
24 1465 Alexia PAGANINI SUI
25 1456 Amber GLENN 미국
26위 1446 Eunsoo LIM 한국 (여자 피겨 임은수 선수 랭킹)
27 1402 Niina PETROKINA EST
28 1395 Mariah 벨기에L 미국
29 1331 Alina U러시아HADZE GEO
30 1237 Eva-Lotta KIIBUS EST
31 1154 Gabriella IZZO 미국
32 1143 Yuhana YOKOI 일본
33 1140 Emmi PELTONEN 프랑스
34 1127 Sofia SAMODUROVA 러시아
35 1120 Rino MATSUIKE 일본
36 1108 Alexandra FEIGIN BUL
37 1099 Olga MIKUTINA AUT
38 1074 Audrey SHIN 미국
39 1072 Madeline SCHIZAS 캐나다
40 1067 Jose프랑스 TALJEGARD 스웨덴
● ISU 세계 여자피겨 쇼트프로그램 개인 최고점수 랭킹 순위
ISU가 발표한 여자피겨 세계 선수들의 쇼트 프로그램 개인 최고점수 랭킹 순위 순위입니다. 1위는 러시아의 카밀라 발레바, 2위는 러시아의 알레나 코스토르나, 3위는 일본의 리카 선수입니다.

(순위 이름 국가 참가대회 날짜 점수 수준 순서입니다.)
1위 카밀라 발레바 RUS ISU 유럽 선수권 대회 2022 13/01/2022 90.45 S
2위 알레나 코스토르나 RUS ISU 그랑프리 파이널 2019/2020 06/12/2019 85.45 S
3위 리카 KIHIRA JPN ISU 월드 팀 트로피 2019년 11월 4일/2019년 83.97 S
4위 알리나 자가토바 루시토바 세계 선수권 대회 2019년 20/03/2019년 82.08 S
5위 엘리자베타 툭타미셰바 RUSISU CS 핀란드리아 트로피 2021 09/10/2021 81.53 S
6위 안나 셰르바코바 RUS ISU 월드 팀 트로피 2021 15/04/2021 81.07 S
7위 와카바 히구치 JPN ISU CS컵 2021년 12월 11일/2021년 79.73 S
8위 유영 KOR ISU GP 스케이트 캐나다 인터내셔널 2019 25/10/2019 78.22 S (한국 유영선수 쇼트 최고점수)
9위 사카모토 가오리 JPN ISU 월드 팀 트로피 2021 15/04/2021 77.78 S
10위 알렉산드라 TRUSOVA 루소바 GP 보장 레이트 스케이트 아메리카 2021년 23/10/2021년 77.69 S
11위 에브게니아 메드베데바 RUS ISU GP 로즈텔컴 컵 2019 15/11/2019 76.93 S
12위 다리아 USACHEVA RUS ISU GP 보장 레이트 스케이트 아메리카 2021년 23/10/2021년 76.71 S
13위 로에나 헨드릭스 벨 2022년 13/01/2022년 76.25 S
14위 미야하라 사토코 ISU GP NHK 트로피 2018 09/11/2018 76.08 S
15위 엘리자베스 투르신바에바 카즈 2019년 ISU 세계 선수권 대회 20/03/2019 75.96 S
16위 브래디 테네일 USA ISU 4대륙 선수권 대회 2020 06/02/2020 75.93 S
17위 소피아 AKATEVA RUS ISU JGP 크라스노야르스크 2021 17/09/2021 75.89 J
18위 크세니아 SINITSYNA RUS ISU 에그나/뉴마크트 2019 04/10/2019 74.65 J
19위 카렌 첸 USA ISU 세계 선수권 대회 2021년 24/03/2021년 74.40 S
20위 알리사 LIU USA ISU CS 롬바르디아 트로피 2021 10/09/2021 74.31 S
21위 마나 KAWABE JPN ISU GP NHK 트로피 2021년 12월 11일/2021년 73.88 S
22위 김예림 KOR ISU 세계 선수권 대회 2021년 24/03/2021년 73.63 S (한국 김예림 선수 쇼트프로그램 최고점수)
23위 소피아 MURAVIEVA RUS ISU JGP컵 2021 08/10/2021 73.28
24위 임은수 KOR ISU 세계 선수권 대회 2019 20/03/2019 72.91 S (한국 임은수 선수 쇼트프로그램 최고점수)
● ISU 세계 여자피겨 프리스케이팅 개인최고점수 랭킹 순위
ISU가 발표한 여자피겨 세계 선수들의 프리 스케이팅 개인 최고점수 랭킹 순위 순위입니다. 1위는 러시아의 카밀라 발레바, 2위는 러시아의 안나 셰르바코바 3위는 캐나다의 알렉산드라 TRUSOVA 선수입니다. (순위 이름 국가 참가대회 날짜 점수 수준 순서입니다)

1위 카밀라 발레바 RUS ISU GP 로즈텔컴컵 2021 27/11/2021 185.29 S
2위 안나 셰르바코바 2022년 15/01/2022 168.37 S
3위 알렉산드라 TRUSOVA 루소바 GP 스케이트 캐나다 인터내셔널 2019 26/10/2019 166.62 S
4위 알레나 코스토르나 RUS ISU 그랑프리 파이널 2019/20 07/12/2019 162.14 S
5위 알리나 자가토바 RUSISU CS 네벨혼 트로피 2018년 28/09/2018년 158.50 S
6위 소피아 AKATEVA RUS ISU JGP 크라스노야르스크 2021 18/09/2021 157.19 J
7위 Maiia KhromyKH RUSISU GP 로즈텔컴컵 2021 27/11/2021 154.97 S
8위 리카 키히라 JPN ISU GP NHK 트로피 2018년 10월 11일/2018년 154.72 S
9 엘리자베타 툭타미셰바 루세바 월드 팀 트로피 2019 13/04/2019 153.89 S
10 브래디 테네일 USA ISU 월드 팀 트로피 2019 13/04/2019 150.83 S
11 카오리 사카모토 JPN ISU 월드 팀 트로피 2021 17/04/2021 150.29 S
12위 유영 한국 ISU 4대륙 선수권 대회 2020 08/02/2020 149.68 S (한국 유영선수 프리스케이팅 개인 취고점수)
13 에브게니아 메드베데바 RUS ISU 세계 선수권 대회 2019년 22월 3일/2019년 149.57 S
14 엘리자베스 투르신바에바 카즈 2019년 ISU 세계 선수권 대회 22/03/2019년 148.80 S
15 미야하라 사토코 ISU GP 스케이트 아메리카 2018 21/10/2018 145.85 S
16 로에나 헨드릭스 벨 ISU GP 그란 프레미오 디탈리아 2021 06/11/2021 145.53 S
17 마이하라 일본어 ISU 4대륙 선수권 대회 2022년 22/01/2022 145.41 S
18 Veronika ZHILINA RUS ISU JGP Kosice 2021 04/09/2021 145.35 J
19 알리사 LIU USA ISU CS 롬바르디아 트로피 2021년 11월 9일/2021년 144.93 S
20위 이해인 한국 ISU 4대륙 선수권 대회 2022년 22/01/2022 143.55 S (한국 이해인 선수 프리스케이팅 개인 취고점수)
21 머라이어 벨 USA ISU GP Internationalaux de France 2019 02/11/2019 142.64 S
22 MATSUIKE 일본어 ISU 4대륙 선수권 대회 2022년 22/01/2022 142.05 S
23 소피아 사모델키나 루스 JGP 크라스노야르스크 2021 18/09/2021 141.63 J
24 와카바 히구치 JPN ISU GP 인터내셔널 드 프랑스 2021 20/11/2021 141.04 S
25위 김예림 KOR ISU 4대륙 선수권 대회 2022년 22/01/2022 140.98 S(한국 김예림 선수 프리스케이팅 개인 취고점수)
올림픽 피겨 정보 자세히 보기 ☞ 남자 피겨 ISU 세계 랭킹 순위 (차준환 랭킹은?)
'스포츠 노트' 카테고리의 다른 글
| 헝가리도 쇼트트랙 편파판정으로 중국에게 금메달 강탈당해(일본인 반응) (0) | 2022.02.09 |
|---|---|
| 베이징 동계 올림픽 한국 첫 번째 메달은? 스피드스케이팅 남자 1500m 김민석 선수 동메달 (나이 23세) (0) | 2022.02.08 |
| 중국 쇼트트랙 심판 편파 판정 (황대헌 이준서 선수 탈락, ISU 이의제기 기각) (0) | 2022.02.08 |
| 베이징 동계 올림픽 한국 컬링 금메달 도전 응원! 여자컬링 대표팀 팀킴 김선영, 김경애, 김초이 선수 (0) | 2022.02.08 |
| 오늘 한국 쇼트트랙 첫번째 금메달 주인공은? 최민정 선수, 황대헌, 이준서, 박장혁은 누구인가? 나이 키 학교 메달 (0) | 2022.02.07 |